Quando conviene investire nel sistema di accumulo abbinato all’impianto solare fotovoltaico

Abbinare un sistema di accumulo di elettricità al proprio impianto solare fotovoltaico non sempre conviene: bisogna fare attenzione alle modalità di impiego.

L’installazione di un impianto solare fotovoltaico sul tetto di casa è certamente un’ottima soluzione per produrre e consumare energia pulita, ma senza un sistema di accumulo si può definire una scelta incompleta. Quello dell’accumulo è un tipo di tecnologia che si conosce poco, anche se la sua diffusone è in crescita, eppure la sua installazione può comportare benefici economici e per l’ambiente.

Con il libro bianco sull’accumulo elettrochimico di energia, giunto alla terza edizione dopo quelle del 2015 e del 2017, la federazione Anie, che in Confindustria rappresenta le imprese elettriche ed elettroniche, e Rse, società di ricerca nel settore elettro-energetico, hanno misurato i vantaggi derivanti oggi dall’adozione di sistemi di accumulo energetico nel residenziale. Tra i temi per noi di maggior interesse ci sono lo schema di autoconsumo collettivo in abbinamento a sistemi di accumulo e l’aggregazione di sistemi di accumulo residenziali per fornire servizi di dispacciamento, termine con cui si indica l’equilibrio su scala nazionale dei flussi di domanda e offerta di energia.

Installazione impianto fotovoltaico
L’installazione di un impianto fotovoltaico residenziale © Alexandra Beier/Getty Images

Da aggiungere che gli ultimi dati del Gestore dei servizi energetici (Gse), società dello Stato che monitora il conseguimento degli obiettivi nazionali fissati per fonti rinnovabili ed efficienza energetica, rilevano che a fine 2019, in aumento rispetto al 2018, erano installati oltre 880mila impianti per una potenza totale di circa 21 gigawatt. Per la maggior parte si tratta di piccoli impianti sotto i 20 kilowatt. Nello stesso periodo, l’aumento è stato rilevato anche per i sistemi di accumulo di piccola taglia, residenziali o commerciali, con un totale di quasi 26mila sistemi pari a una potenza cumulativa di 118 megawatt.

L’attuale quadro normativo

È utile fare una premessa e scattare la fotografia dell’attuale quadro normativo. Lo schema di autoconsumo collettivo in abbinamento al sistema di accumulo in Italia è previsto da due norme: la direttiva europea Red II (2018/2001/Ue), che favorisce l’energia ottenuta da rinnovabili, e la legge italiana 8/2020, con cui il governo ha stabilito un regime di regole transitorie per favorire la sperimentazione di progetti pilota sull’autoconsumo collettivo e le comunità energetiche.

I clienti finali, si specifica nel libro bianco, possono associarsi per diventare autoconsumatori di energia rinnovabile o realizzare comunità di energia rinnovabile se:

  • il pannello solare fotovoltaico non supera una potenza di 200 kilovatt ed è entrato in esercizio dopo il 1° marzo 2020;
  • i membri dello schema condividono l’elettricità prodotta grazie alla rete di distribuzione esistente, secondo la cosiddetta configurazione dell’autoconsumo virtuale;
  • l’elettricità prelevata dalla rete pubblica è soggetta alle componenti tariffarie che garantiscono gli oneri generali di sistema, i costi per le attività di interesse generale come il sostegno alle fonti intermittenti.

A complemento del quadro, l’Autorità di regolazione per energia reti e ambiente (Arera), con la delibera 318/2020, ha definito la “Regolazione delle partite economiche relative all’energia elettrica condivisa da un gruppo di autoconsumatori di energia rinnovabile che agiscono collettivamente in edifici e condomini oppure condivisa in una comunità di energia rinnovabile”. In questo modo ha regolato i corrispettivi economici legati alla valorizzazione dell’autoconsumo collettivo.

Per fissare la tariffa incentivante legata alla promozione dell’energia condivisa all’interno degli schemi e delle comunità energetiche, il ministero dello Sviluppo economico ha emesso il decreto ministeriale “Individuazione tariffa incentivante per impianti a fonti rinnovabili”, pubblicato in Gazzetta ufficiale lo scorso 16 novembre 2020.

L’autoconsumo collettivo abbinato al sistema di accumulo

L’analisi di Anie e Rse è molto tecnica e articolata; qui è utile evidenziare che il risparmio è frutto del rapporto tra la misura dell’impianto fotovoltaico e il consumo del singolo utente, in funzione della sua produzione e al netto del prezzo di vendita sul mercato dell’energia. Nello studio è riportato l’esempio di un piccolo condominio di otto utenze in zona climatica D dotato di un impianto solare fotovoltaico di taglia massima pari a 20 kw scalabile, che prevede cioè successive espansioni del pacco batteria. Lo studio tiene conto del normale decadimento annuo dell’impianto, ossia della diminuzione della resa dell’1 per cento (il 20 per cento in totale se si considera una vita utile di 20 anni).

Nel caso preso in esame, il prelievo annuale stimato di elettricità ammonta a:

  • 11mila kwh/anno per l’alimentazione dei servizi comuni (ascensori, illuminazione e altri servizi);
  • 2.200 kwh/anno per ciascuna unità immobiliare;
  • 10 kw picco di prelievo annuo complessivo e 16 kw picco di potenza immessa.
vantaggio economico sistema accumulo
Bilanci energetici e grandezze economiche relative alla configurazione di piccolo condominio con sistema di accumulo © Libro bianco sull’accumulo elettrochimico Anie-Rse

Il sistema di accumulo prediletto tra quattro considerati è quello da 15 kw di capacità agli ioni di litio. È il tipo oggi maggiormente diffuso perché garantisce un numero di cicli di carica e scarica che rende sufficiente l’acquisto di un solo dispositivo nell’arco temporale in cui è atteso il ritorno dell’investimento.

ritorno investimento sistema accumulo
Tempi di ritorno dell’investimento al variare della taglia del sistema di accumulo. Fonte: libro bianco sull’accumulo elettrochimico Anie-Rse

Gli autori della ricerca hanno valutato i benefici economici e i tempi di ritorno dell’investimento in due casi, cioè nell’ipotesi di applicare o meno la detrazione fiscale del 50 per cento in dieci anni all’impianto fotovoltaico oltre che al sistema d’accumulo. In estrema sintesi, in presenza di detrazioni fiscali del 50 per cento l’investimento, sia per il solo fotovoltaico che per il sistema integrato con batterie, può avere un effetto favorevole sui tempi di ritorno dell’investimento.

Questi potranno ulteriormente diminuire grazie alla partecipazione del condominio in forma aggregata a servizi ancillari, tra cui il regolamento della tensione, come delineato nel Piano nazionale integrato per l’energia ed il clima (Pniec). O ancora, grazie alla cumulabilità tra una parte dei benefici previsti per gli schemi di autoconsumo collettivo e quelli derivanti dalla detrazione fiscale del Superbonus 110 per cento, garantita da una riqualificazione complessa di un edificio che comporta un miglioramento di prestazioni pari ad almeno due classi energetiche.

In questo schema il vero vantaggio deriva dalla possibilità di accumulare energia prodotta. Inoltre, la presenza di una batteria evita agli utenti di cambiare le proprie abitudini comportamentali e, al contempo, offre margini di flessibilità per la fornitura di servizi e per la decongestione della rete di distribuzione.

L’aggregazione di sistemi di accumulo residenziali

Seconda casistica di nostro interesse riguarda la possibilità per un insieme di piccoli sistemi di accumulo di partecipare al mercato dei servizi di dispacciamento, lo strumento con cui Terna, il gestore della rete nazionale, si rifornisce delle risorse utili a gestire e controllare il sistema per, ad esempio, bilanciare in tempo reale la domanda e l’offerta di energia. Tale caso è contemplato dalla delibera di maggio 2017 dell’Arera, la 300/2017, quando i sistemi sono aggregati in modo virtuale e formano un impianto di taglia minima di 1 mw. La delibera introduce anche la figura del balance service provider (bsp), o aggregatore, che ha il compito di gestire le risorse e interfacciarle al mercato come un’unica unità.

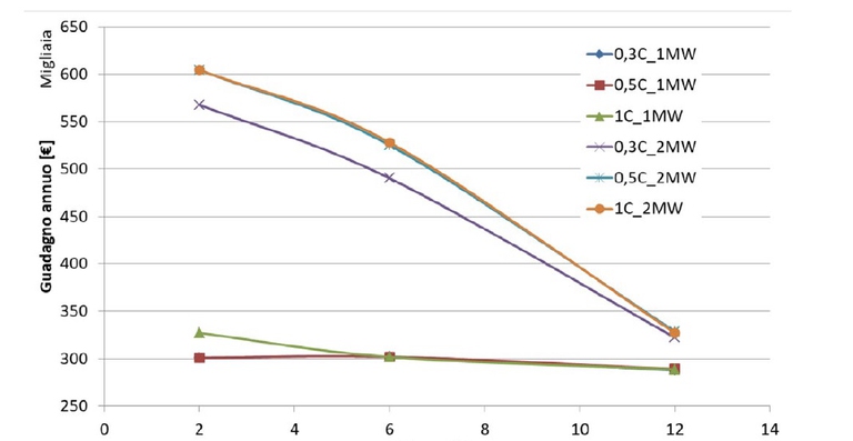
In questo secondo esempio l’aggregato è composto da 1.245 utenti residenti a Milano e tutti dotati di un impianto con la medesima potenza produttiva. Con i criteri stabiliti, il beneficio annuo è risultato variabile da circa 0,3 milioni a 0,6 milioni di euro ipotizzando un’offerta di elettricità di 2 mw. Queste cifre sono purtroppo irraggiungibili, almeno oggi, perché Terna dovrebbe accettare tutta l’energia offerta dall’aggregatore.

andamento guadagni
Andamento dei guadagni dell’aggregato © Libro bianco sull’accumulo elettrochimico Anie-Rse

La quota accettata si ferma, più realisticamente, alla misura del 10 per cento del totale. In tal caso il guadagno annuo complessivo si può dire comunque elevato: tra i 30mila e i 60mila euro. Nello specifico, il corrispettivo netto di ogni partecipante dipende dalla percentuale di ricavo dell’aggregatore e dalla modalità scelta per la ripartizione dei benefici. Questi ultimi dovranno essere usati anche per coprire i costi relativi alla maggiore usura della batteria, dovuta proprio alla partecipazione al mercato dei servizi di dispacciamento.

In futuro si potrà beneficiare di questo tipo di dispositivi distribuiti non solo per effettuare il bilanciamento della rete, quindi per garantire l’equilibrio tra immissioni e prelievi, ma anche per fornire altri tipi di servizi. Tra questi, la riserva secondaria di potenza che rappresenta la funzione automatica con cui è ripristinato il divario tra il fabbisogno e la produzione del sistema nazionale. Inoltre, potranno diventare fondamentali nei momenti di picco della domanda di energia su scala regionale e nazionale. Quando ci sarà un numero maggiore di sistemi di accumulo distribuito nel paese sarà anche possibile fornire servizi al distributore di energia, per risolvere congestioni di rete locali e per regolare la tensione.

Siamo anche su WhatsApp. Segui il canale ufficiale LifeGate per restare aggiornata, aggiornato sulle ultime notizie e sulle nostre attività.

Licenza Creative Commons
Quest'opera è distribuita con Licenza Creative Commons Attribuzione - Non commerciale - Non opere derivate 4.0 Internazionale.

L'autenticità di questa notizia è certificata in blockchain. Scopri di più
Articoli correlati